بررسی انواع الکترود دوار (RDE,RRDE,RCE)

در این مقاله نظریه های الکترود دیسک چرخان RDE ،الکترود حلقه-دیسک دوار  (RRDE) و الکترود سیلندر دوار (RCE) مطالعه می شود.همچنین روابط لویچ و کوتکی-لویچ، محاسبه نظری و تجربی بازده مجموعه در RRDE و نحوه مطالعه مسیر واکنش های شامل تولید واسطه و واکنش های رقیب مورد بررسی قرار می گیرد.

rotating disc electrode

 1. نظریه الکترود دیسک دوار (RDE).

تئوری کلی که انتقال جرم در الکترود دیسک دوار (RDE) را توصیف می کند توسط بنجامین لویچ در موسسه الکتروشیمی در آکادمی علوم اتحاد جماهیر شوروی توسعه داده شد. لویچ این نظریه را در کتاب برجسته خود، فیزیوشیمیایی هیدرودینامیک، که در ابتدا به زبان روسی در سال 1952 منتشر شد، تشریح کرد. ده سال بعد، کتاب لویچ از روسی به انگلیسی ترجمه شد و RDE بیشتر برای محققان غربی شناخته شد.

در اوایل دهه 1960، استنلی بروکنشتین در دانشگاه مینه سوتا (و شاگردانش دنیس جانسون و دوان ناپ) و رونی بل در دانشگاه آکسفورد (و شاگردش جان آلبری) شروع به کار با الکترودهای دوار کردند. نسل‌های بعدی محققان این کار اولیه را گسترش دادند و الکترود دیسک دوار از آن زمان به ابزاری بالغ برای بررسی سینتیک واکنش الکتروشیمیایی تبدیل شد.

(جهت مطالعه پبش زمینه اصول الکترود دیسک دوار ولتامتری،ولتاموگرام کلیک کنید.)

 

جریان آرام در یک الکترود دیسک دوار، جریان ثابتی از مواد را از محلول حجیم به سطح الکترود می‌رساند.
در حالی که محلول توده ای دور از الکترود به خوبی توسط همرفت ناشی از چرخش به خوبی هم زده می شود، قسمتی از محلول که به سطح الکترود نزدیک تر است، تمایل دارد با الکترود بچرخد. بنابراین، اگر محلول از چارچوب مرجع سطح الکترود دوار مشاهده شود، محلول نسبتاً راکد به نظر می رسد. این لایه نسبتاً راکد به عنوان لایه مرزی هیدرودینامیکی شناخته می شود و ضخامت δH را می توان به صورت تقریبی محاسبه کرد.

δH=3.6(v/w)1/2

با در نظر گرفتن ویسکوزیته سینماتیکی (ν) محلول و نرخ چرخش زاویه ای ((ω = 2πf/60)، که f نرخ چرخش بر حسب دور در دقیقه است ، در محلول آبی با سرعت چرخش متوسط (~1000 RPM) ، لایه راکد تقریباً 300 تا 400 میکرومتر ضخامت دارد.

حرکت خالص ماده به سطح الکترود را می توان با استفاده از مفاهیم کلی همرفت- انتشار از دینامیک سیالات به صورت ریاضی توصیف کرد.

 انتقال انبوه مواد از محلول توده ای به لایه راکد بوسیله همرفت به دلیل هم زده شدن توسط الکترود دوار انجام می شود. اما پس از اینکه ماده وارد لایه راکد شد و به سطح الکترود نزدیک شد، همرفت اهمیت کمتری پیدا می‌کند و انتشار اهمیت بیشتری پیدا می‌کند. حرکت نهایی یک یون یا مولکول به سطح الکترود با انتشار در یک لایه بسیار نازک از محلول در مجاورت الکترود، که به عنوان لایه انتشار شناخته می شود، کنترل می شود.

لایه انتشار بسیار نازکتر از لایه هیدرودینامیکی است. ضخامت لایه انتشار δF را می توان به صورت زیر تقریب زد:

δF=1.61(Df)1/3v1/6w-1/2
ضخامت لایه انتشار

بر حسب ضریب انتشار DF مولکول یا یون.
برای یک مولکول یا یون با ضریب انتشار معمولی (DF ≈ 10-5 cm2/s) در یک محلول آبی، لایه انتشار حدود بیست برابر نازک‌تر از لایه راکد است (δF ≈ 0.05 δH).

اولین معادله ریاضی جابجایی و انتشار به سمت الکترود دیسک دوار توسط لویچ انجام شد.

با در نظر گرفتن حالتی که در ابتدا فقط شکل اکسید شده یک مولکول (یا یون) مورد علاقه در سلول الکتروشیمیایی وجود دارد، جریان محدود کننده کاتدی (iLC) مشاهده شده در یک الکترود دیسک دوار با معادله لویچ ارائه می شود.

iLC=0.620nFAD2/3v-1/6C0 ω1/2
جریان محدود کننده کاتدی (iLC) در معادله لویچ

درحالی که پارامترها غلظت فرم اکسید شده در محلول (CO)، سطح الکترود (A)، ثابت فارادی (F = 96485 C/mol)، ویسکوزیته سینماتیکی محلول (ν)، ضریب انتشار (DO)  فرم اکسید شده، و نرخ چرخش زاویه ای (ω) هستند.

متناوبا، وقتی محلول در ابتدا فقط دارای شکل کاهش یافته باشد، معادله جریان محدود کننده آندی (iLA) را می توان به صورت زیر نوشت:

iLA=0.620nFAD2/3v-1/6CR ω1/2
جریان محدود کننده آندی (iLA) در معادله لویچ

که در آن عبارات غلظت و ضریب انتشار (CR و DR) به شکل کاهش یافته به جای فرم اکسید شده اشاره دارد.

 

levich equation

مطالعه لویچ یک آزمایش رایج است که با استفاده از یک الکترود دیسک دوار انجام می‌شود که در آن یک سری ولتاموگرام در محدوده‌ای از نرخ‌های چرخش مختلف به دست می‌آید. برای یک سیستم الکتروشیمیایی ساده که در آن سرعت نیمه واکنش تنها با انتقال جرم به سطح الکترود کنترل می‌شود، بزرگی کلی ولتاموگرام باید با ریشه دوم سرعت چرخش افزایش یابد (نگاه کنید به شکل 1، سمت چپ).

جریان های اندازه گیری شده در طول مطالعه لویچ معمولاً در برابر جذر سرعت چرخش در نموداری به نام نمودار لویچ رسم می شوند. همانطور که توسط معادله لویچ پیش بینی می شود، جریان محدود کننده (شکل 1. دایره های قرمز) به صورت خطی با جذر سرعت چرخش افزایش می یابد (با شیب: nFAD2/3ν-1/6C 0.62) و خط محور عمودی را در صفر قطع می کند.
انتخاب مجموعه ای از نرخ های چرخش که مضرب مربع های کامل هستند (مانند 100، 400، 900، 1600 دور در دقیقه، و غیره) برای تسهیل ساخت این قطعه معمول است.

نمودار لویچ
شکل 1. مطالعه لویچ – ولتاموگرام در نرخ های مختلف چرخش

اگر نیمه واکنش الکتروشیمیایی مشاهده شده در طول مطالعه لویچ یک نیمه واکنش ساده و برگشت پذیر باشد (بدون مشکلی ناشی از کند بودن سینتیک یا واکنش های شیمیایی جفت شده)، در این صورت شکل ولتاموگرام های کنترل شده با انتقال جرم، بدون توجه به سرعت چرخش، سیگموئیدی خواهد بود.
این بدان معناست که جریان مشاهده شده در هر پتانسیل معین در امتداد ولتاموگرام به صورت خطی با جذر سرعت چرخش تغییر می کند (نگاه کنید به: شکل 1، سمت راست).
با این حال، مهم است که به یاد داشته باشید که معادله لویچ فقط برای جریان محدود کننده اعمال می شود، نه برای جریان های در امتداد بخش افزایشی سیگموئید.

از آنجایی که معادله لویچ فقط برای جریان محدود کننده اعمال می شود، نتایج حاصل از آزمایش لویچ معمولاً به صورت نمودار ساده ای از جریان محدود کننده در مقابل جذر سرعت چرخش ارائه می شود (شکل 2. مرکز).

یک روش جایگزین برای ارائه داده های یک مطالعه لویچ، بر اساس بازآرایی معادله لویچ بر حسب جریان متقابل است.

start:1/iLC = (1\0.620nFAD2/3v-1/6C) ω-1/2koutecky-levich equation
معادله لویچ بر حسب جریان متقابل koutecky-levich equation

نمودار جریان متقابل در مقابل جذر  نرخ چرخش زاویه ای (شکل 2. سمت راست) نمودار کوتکی-لویچ نامیده می شود.
مجدداً، برای یک نیمه واکنش ساده و برگشت پذیر بدون مشکل، داده ها در امتداد یک خط مستقیم قرار می گیرند که محور عمودی را در صفر قطع می کند. با این حال، اگر خط، محور عمودی بالای صفر را قطع کند، این یک نشانه قوی است که نیمه واکنش توسط سینتیک کند و نه با انتقال جرم، محدود شده است.

 

 koutecky-levich plot and levich plot

 

شکل 2. مطالعه لویچ –  جریان محدود کننده در مقابل سرعت چرخش و نمودارهای مربوط به لویچ و کوتکی-لویچ.

 

شکل 3. مطالعه Koutecky-Levich – ولتاموگرامی با سینتیک کند

koutecky levich analysis

هنگامی که سرعت یک نیمه واکنشی که در سطح الکترود رخ می دهد با ترکیبی از انتقال جرم و کند بودن سینتیک محدود می شود، اغلب می توان از الکترود دیسک دوار برای مشخص کردن پارامترهای انتقال جرم (مانند ضریب انتشار) و پارامترهای سینتیکی( مانند ثابت سرعت استاندارد،  k0) از یک مطالعه لویچ استفاده کرد.

بررسی کامل این نوع تجزیه و تحلیل فراتر از محدوده این مقاله است، اما در ادامه توضیحی کلی در مورد چگونگی استخراج اطلاعات سینتیکی از مجموعه ای از ولتاموگرام های دیسک دوار ارائه شده است.

هنگامی که فرآیند انتقال الکترون در سطح الکترود سینتیک کندی را نشان می دهد، ولتاموگرام در امتداد محور پتانسیل کشیده شده به نظر می رسد و شکل موج سیگموئیدی کمی مخدوش می شود.
با مقایسه مجموعه ای از ولتاموگرام ها با سینتیک آسان (شکل 1) با مجموعه ای از ولتاموگرام ها با سینتیک کند (شکل 3) در می یابیم زمانی که سینتیک آهسته وجود دارد فلات جریان محدود انتقال جرم (که با دایره های قرمز رنگ در هر شکل مشخص شده است)  از پتانسیل الکترود استاندارد (E0) دورتر می شود.

به روشی دیگر، هنگامی که یک نیمه واکنش ردوکس کند با یک الکترود دیسک دوار مورد مطالعه قرار می‌گیرد، مازاد پتانسیل بزرگتری باید به الکترود اعمال شود تا بر سینتیک کند غلبه کند و به جریان محدود انتقال جرم برسد.

این پیچیدگی شکل سیگموئیدی ایده آل ولتاموگرام را می توان به عنوان راهی برای اندازه گیری ثابت نرخ استاندارد (k0) مورد استفاده قرار داد. جریان متقابل (نمونه‌برداری شده در مکان‌های خاص در امتداد بخش افزایشی هر ولتاموگرام) را بر روی نمودار کوتکی-لویچ رسم کنید. در مثال ارائه شده (شکل 3. سمت چپ)، جریان در دو مکان در امتداد بخش افزایشی ولتاموگرافی (در 0 و 50 میلی ولت در مقابل E0، مشخص شده با مثلث های آبی و مربع های بنفش) و در یک مکان در جریان محدود کننده نمونه برداری شد. فلات (در 350 میلی ولت در مقابل E0، با دایره های قرمز مشخص شده است). زمانی که این جریان های نمونه برداری شده بر روی نمودار کوتکی-لویچ رسم می شوند (شکل 3. سمت راست) یک رابطه خطی مشهود است.

برای مجموعه‌ای از جریان‌های نمونه‌برداری شده در فلات جریان محدود (شکل 3. دایره‌های قرمز)، یک برون‌یابی به محور عمودی (یعنی به نرخ چرخش بی‌نهایت)از صفر عبور می کند. این همان نتیجه ای است که برای یک نیمه واکنش سهل الوصول به دست می آید (شکل 2. سمت راست) زیرا این جریان ها در یک پتانسیل اضافی به اندازه کافی بالا نمونه برداری می شوند که هیچ محدودیت سینتیکی وجود ندارد. فقط انتقال جرم  جریان را محدود می کند و رفتار معمول لویچ اعمال می شود.

با این حال، برای دو مجموعه جریان نمونه برداری شده در قسمت بالارونده ولتاموگرام (شکل 3. مثلث های آبی و مربع های بنفش)، برون یابی به محور عمودی، نقطه غیر صفر را قطع می کند. این طول از مبدا غیرصفر یک محدودیت سینتیکیی را نشان می دهد، به این معنی که حتی اگر انتقال جرم بی نهایت باشد (یعنی نرخ چرخش نامحدود)، نرخ نیمه واکنش همچنان توسط سینتیک آهسته در سطح الکترود محدود می شود.

بخش خطی داده ها در نمودار کوتکی-لویچ با معادله کوتکی-لویچ توصیف می شود.

1\iLC = 1\iK + (1\0.620nFAD2/3v-1/6C) ω-1/2
معادله کوتکی-لویچ برای ناحیه خطی.

رسم جریان متقابل (i/1) در برابر ریشه متقابل نرخ چرخش زاویه ای (ω-1/2)، یک خط مستقیم با یک قطع برابر با جریان سینتیکی متقابل (1/iK) ایجاد می کند. جریان سینتیکی جریانی است که در غیاب هرگونه محدودیت انتقال جرم مشاهده می شود. با اندازه گیری جریان سینتیکی در انواع اضافه پتانسیل های مختلف در امتداد ولتاموگرام، می توان ثابت نرخ استاندارد را برای نیمه واکنش الکتروشیمیایی تعیین کرد.
جزئیات بیشتر در مورد نظریه کوتکی-لویچ، از جمله اشکال مختلف معادله کوتکی-لویچ که به فرآیندهای الکتروشیمیایی مختلف مربوط می شود، در مقالات موجود است.

rotating ring disc electrode

2.تئوری الکترود حلقه-دیسک دوار  (RRDE)

در سال 1958، الکساندر فرومکین، الکتروشیمیدان روسی، ایده قرار دادن یک الکترود حلقه متحدالمرکز در اطراف الکترود دیسک دوار را پیشنهاد کرد. همکار او، لو نکراسوف، بر ساخت اولین الکترود حلقه-دیسک دوار جهان (RRDE) نظارت کرد.

در همان زمان، بنجامین لویچ و یوری ایوانف شروع به کار بر روی توصیف نظری جریان حل در RRDE کردند. این چهار محقق روسی یافته های اولیه خود را در سال 1959 منتشر کردند و کار آنها توجه استنلی بروکنشتین در دانشگاه مینه سوتا و جان آلبری در دانشگاه آکسفورد را به خود جلب کرد. بروکنشتین برای کسب اطلاعات بیشتر در مورد RRDE به مسکو سفر کرد و پس از بازگشت به خانه در سال 1965، آلبری به گروه تحقیقاتی بروکنشتین (به همراه دنیس جانسون و دوان ناپ) پیوست. کار تجربی و ریاضی انجام شده توسط این چهار محقق در مینه‌سوتا، یک سری مقالات قابل توجه در مورد RRDE ایجاد کرد و تکنیک جدید را بر اساس یک پایه نظری محکم قرار داد. آلبری به آکسفورد بازگشت و (با شاگردش مایکل هیچمن) این مقالات نظری را در یک جلد اصلی با عنوان الکترودهای حلقه-دیسک ترسیم کرد.

الگوی جریان کلی در RRDE در ابتدا مولکول ها و یون ها را به الکترود دیسک می آورد. پس از برخورد با الکترود دیسک، جریان شعاعی به سمت بیرون، کسری از این مولکول ها یا یون ها را از سطح الکترود حلقه عبور می دهد. این الگوی جریان اجازه می دهد تا محصولات تولید شده (بالا دست) توسط نیمه واکنش در الکترود دیسک، هنگامی که آنها (پایین دست) از الکترود حلقه عبور می کنند، شناسایی شوند.

دو پارامتر کلیدی که هندسه حلقه-دیسک را مشخص می‌کنند، راندمان جمع‌آوری و زمان انتقال هستند. راندمان جمع‌آوری کسری از مواد از دیسک است که متعاقباً از کنار الکترود حلقه عبور می‌کند. می توان آن را به صورت کسری بین 0.0 و 1.0 یا به صورت درصد بیان کرد. هندسه دیسک حلقه معمولی دارای راندمان جمع آوری بین 20٪ تا 30٪ است. زمان عبور مفهوم کلی تری است که میانگین زمان مورد نیاز برای حرکت مواد در الکترود دیسک در طول شکاف بین دیسک و الکترود حلقه را نشان می دهد.بدیهی است که زمان عبور تابعی از فاصله گپ و نرخ چرخش است.

 محاسبه نظری بازده rrde electrode 

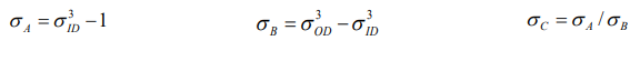
راندمان جمع آوری نظری را می توان از سه قطر اصلی که هندسه RRDE را توصیف می کند، محاسبه کرد: قطر بیرونی دیسک (d1)، قطر داخلی حلقه (d2) و قطر بیرونی حلقه (d3). این محاسبه تا حدی خسته کننده با نرمالایز کردن قطر حلقه با توجه به قطر دیسک به شرح زیر آسان تر می شود:

od=d3/d1ID=d2/d1
قطر نرمال شده

سه کمیت اضافی بر حسب قطرهای نرمال شده به شرح زیر تعریف می شود:

A=ID^3-1B=OD^3-ID^3 C=A/B
کمیت های جدید

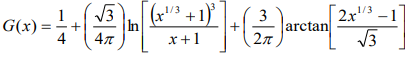
اگر یک تابع مختلط G(x) به صورت زیر تعریف شود:

تابع مختلط
complex function, G(x)

سپس راندمان جمع آوری نظری (𝑁𝑡ℎ𝑒𝑜𝑟𝑒𝑡𝑖𝑐𝑎) برای یک الکترود حلقه-دیسک چرخان با معادله زیر که اولین بار توسط آلبری و بروکنشتین گزارش شده است، ارائه می شود:

فرمول محاسبه راندمان جمع آوری نظری
راندمان جمع آوری نظری (𝑁𝑡ℎ𝑒𝑜𝑟𝑒𝑡𝑖𝑐𝑎)

 

 اندازه گیری تجربی کارایی rrde electrode 

اگر ابعاد ماشینکاری شده واقعی دیسک و حلقه برای یک RRDE خاص مشخص باشد، محاسبه مستقیم راندمان جمع آوری نظری با استفاده از روابط فوق ممکن است. در عمل، ابعاد RRDE واقعی ممکن است به دلیل عدم قطعیت در فرآیند ماشینکاری و تغییرات در ابعاد ناشی از پرداخت الکترود یا چرخه دما مشخص نباشد. به همین دلیل، اندازه گیری تجربی کارایی مجموعه با استفاده از یک سیستم ردوکس با رفتار مناسب به جای تکیه بر یک مقدار محاسبه شده، معمول است.

نیمه واکنش فروسیانید/فری سیانید یک نیمه واکنش ساده، تک الکترونی و برگشت پذیر است که اغلب به عنوان مبنایی برای اندازه گیری کارایی جمع آوری استفاده می شود.

RRDE در محلولی حاوی غلظت کمی (~10 𝑚𝑀) فری سیانید پتاسیم، 𝐾3𝐹𝑒(𝐶𝑁)6 ، در محلول الکترولیت آبی مناسب (مانند نیترات پتاسیم 1.0 مولار، KNO3) قرار می گیرد و با سرعت چرخش بین 500 تا 2000 RPM کار می کند. در ابتدا، هر دو الکترود حلقه و دیسک در یک پتانسیل به اندازه کافی مثبت نگه داشته می شوند که هیچ واکنشی رخ نمی دهد. سپس، پتانسیل الکترود دیسک به آرامی (~50 میلی ولت در ثانیه) به سمت پتانسیل های منفی تر روبش می شود و یک جریان کاتدی مشاهده می شود که مربوط به کاهش فری سیانید به فروسیانید در دیسک است.

(کاهش فری سیانید به فروسیانید در دیسک):

کاهش اهن سه به دو
(کاهش فری سیانید به فروسیانید در دیسک):

 

همانطور که فری سیانید در الکترود دیسک کاهش می یابد، فروسیانید تولید شده توسط این فرآیند به سمت خارج (به صورت شعاعی) از الکترود دیسک و به سمت الکترود حلقه هدایت می شود. الکترود حلقه در طول آزمایش با پتانسیل مثبت (اکسید کننده) ثابت نگه داشته می شود. مقداری (و نه همه) فروسیانید تولید شده در دیسک به اندازه کافی به الکترود حلقه نزدیک می شود که به فری سیانید اکسید شود. بنابراین، یک جریان آندی در الکترود حلقه به دلیل اکسیداسیون فروسیانید به فری سیانید در حلقه مشاهده می شود.

(اکسیداسیون فروسیانید به فری سیانید در حلقه):

واکنش تبدیل اهن دو به سه
(اکسیداسیون فروسیانید به فری سیانید در حلقه)

نسبت اندازه گیری شده جریان محدود کننده حلقه (آندی) به جریان محدود کننده دیسک (کاتدی) بازده تجربی مجموعه است.

با افزایش سرعت چرخش، هم جریان دیسک و هم جریان حلقه افزایش می یابد (نگاه کنید به: شکل 4). از آنجایی که هر دو جریان محدود کننده آندی و کاتدی با جذر سرعت چرخش متناسب هستند، انتظار می رود بازده جمع آوری تجربی مستقل از نرخ چرخش باشد.

نمودار پتانسیل دیسک(افقی) جریان دیسک(عمودی)
شکل 4. ولتاموگرام های الکترود حلقه-دیسک چرخان با نرخ های چرخش مختلف

هنگامی که مقدار کارایی مجموعه به طور تجربی برای یک RRDE خاص تعیین شد، می توان آن را به عنوان ویژگی آن RRDE خاص در نظر گرفت، حتی اگر RRDE برای مطالعه نیمه واکنش متفاوت در محلول متفاوت در روز متفاوت استفاده شود. اگرچه راندمان جمع آوری اندازه گیری شده تجربی (Nempirical) نسبتی از دو جریان است که اغلب دارای علائم ریاضی متضاد (آندی و کاتدی) هستند، کارایی مجموعه تجربی همیشه به صورت یک عدد مثبت به صورت زیر بیان می شود:

n=iRnd/nril
کارایی مجموعه تجربی

که در آن nD و nR تعداد الکترون های مبادله شده در دیسک و حلقه هستند (و اغلب، nD و nR با یکدیگر برابر هستند).

 

 generator collector

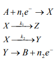
هنگامی که یک مولکول یا یون در یک الکترود اکسید یا احیا می شود، اغلب به یک گونه شیمیایی میانی ناپایدار تبدیل می شود که به نوبه خود، احتمالاً دستخوش تغییرات شیمیایی اضافی می شود.

  1.  واسطه ممکن است به اندازه کافی عمر طولانی داشته باشد که بتواند به سمت الکترود حلقه حرکت کند و شناسایی شود.
  2.  واسطه ممکن است آنقدر ناپایدار باشد که قبل از اینکه بتوان آن را در حلقه تشخیص داد، از بین رود.

طرح واکنش زیر را در الکترود حلقه-دیسک چرخان در نظر بگیرید:

(کاهش 𝐴 به واسطه ناپایدار 𝑋 در الکترود دیسک)

(تجزیه شیمیایی 𝑋 به غیر فعال الکتروشیمیایی)

(اکسیداسیون 𝑋 به 𝐴 در الکترود حلقه)

توضیح واکنش ها در متن
واکنش تولید واسطه در الکترود حلقه-دیسک چرخان

در طرح فوق، الکترود دیسک در پتانسیلی قرار می‌گیرد که در آن A به X کاهش می‌یابد، و جریان محدودکننده کاتدی مشاهده‌شده در دیسک (iDISK) معیاری است از میزان X تولید شده در الکترود دیسک. در همان زمان، الکترود حلقه در پتانسیل مثبت تری قرار می گیرد که در آن X به A اکسید می شود، و جریان محدود کننده آندی مشاهده شده در حلقه (iRING) اندازه گیری مقدار X است که در حلقه “جمع می شود”.

همچنین یک واکنش شیمیایی رقیب وجود دارد که می تواند X را قبل از اینکه فرصتی برای انتقال از دیسک به حلقه داشته باشد، از بین ببرد.

نسبت جریان حلقه به جریان دیسک در این شرایط را بازده جمع آوری ظاهری (Napparent) می گویند.

N=iR/id-
بازده جمع آوری ظاهری (Napparent)

با مقایسه بازده جمع‌آوری ظاهری (Napparent) با بازده جمع‌آوری تجربی اندازه‌گیری شده قبلی (Nempirical) برای همان RRDE، می‌توان سرعتی را استنباط کرد که مسیر شیمیایی رقیب X را به Z تبدیل می‌کند. یعنی ممکن است برای اندازه‌گیری رفتار سینتیکی واسطه‌های الکتروشیمیایی ناپایدار، از آزمایش «مولد/کلکتور» RRDE استفاده کنید.

هر زمان که راندمان جمع آوری ظاهری و تجربی برابر باشد (Napparent = Nempirical)، این نشان دهنده آن است که نرخ فروپاشی واسطه (از طریق مسیر X → Z) با توجه به زمان عبور مورد نیاز X ، برای حرکت از دیسک به حلقه، کوچک است. یکی از راه‌های کوتاه‌تر کردن زمان عبور، چرخش RRDE با سرعت بیشتری است. در نرخ چرخش بالا، بازده جمع آوری ظاهری باید به کارایی مجموعه تجربی نزدیک شود.

برعکس، در سرعت‌های چرخش آهسته‌تر، راندمان جمع‌آوری ظاهری ممکن است کوچک‌تر باشد (Napparent <Nempirical) زیرا برخی از واسطه‌ها قبل از اینکه X بتواند به حلقه برود توسط مسیر شیمیایی رقیب مصرف می‌شود.

با ثبت یک سری ولتاموگرام حلقه-دیسک چرخان با نرخ های چرخش مختلف و تجزیه و تحلیل نتایج، می توان ثابت سرعت (𝑘) مرتبط با مسیر واپاشی شیمیایی میانی را تخمین زد. روابط مختلفی برای این نوع تحلیل پیشنهاد شده است که یکی از ساده ترین آنها در زیر نشان داده شده است.

فرمول
نسبت بازده جمع آوری تجربی به ظاهری در مقابل نرخ چرخش زاویه ای

نموداری از نسبت بازده جمع آوری تجربی به ظاهری در مقابل نرخ چرخش زاویه ای متقابل باید خطی باشد.
در صورتی که ویسکوزیته سینماتیکی (𝑣) و ضریب انتشار (𝐷) شناخته شده باشند، شیب چنین نموداری می تواند ثابت سرعت را ایجاد کند.

گاهی اوقات واسطه تولید شده توسط یک فرآیند الکتروشیمیایی می تواند از طریق دو مسیر مختلف تجزیه شود. تا زمانی که یکی از این مسیرها به یک گونه شیمیایی فعال الکتروشیمیایی منتهی شود که می تواند در حلقه شناسایی شود، می توان تعیین کرد که کدام مسیر واپاشی مطلوب است. طرح زیر را در نظر بگیرید:

(کاهش 𝐴 به واسطه ناپایدار 𝑋 در الکترود دیسک)

(واپاشی سریع شیمیایی 𝑋 به غیر فعال الکتروشیمیایی)

(واپاشی سریع شیمیایی 𝑋 تا فعال الکتروشیمیایی)

(تشخیص 𝑌 در الکترود حلقه از طریق اکسیداسیون 𝑌 به 𝐵)

واکنش های تولید واسطه (کاهش 𝐴 به واسطه ناپایدار 𝑋 در الکترود دیسک) (واپاشی سریع شیمیایی 𝑋 به غیر فعال الکتروشیمیایی) (واپاشی سریع شیمیایی 𝑋 تا فعال الکتروشیمیایی) (تشخیص 𝑌 در الکترود حلقه از طریق اکسیداسیون 𝑌 به 𝐵)
واکنش های مختلف واسطه تولید شده

در طرح فوق، الکترود دیسک در پتانسیلی قرار می‌گیرد که در آن A به X کاهش می‌یابد، و جریان محدودکننده کاتدی مشاهده‌شده در دیسک (iDISK) معیاری است از میزان X تولید شده در الکترود دیسک. X میانی ناپایدار است، و همانطور که از دیسک دور می شود و به سمت حلقه می رود، به سرعت به Y یا Z تجزیه می شود. زمانی که این گونه ها به حلقه می رسند، تمام X از بین رفته است و محلول در تماس با حلقه شامل Y و Z است. گونه Z از نظر الکتروشیمیایی غیرفعال است و توسط حلقه قابل تشخیص نیست، اما گونه Y فعال است. با قرار دادن دقیق الکترود حلقه در یک پتانسیل مناسب برای تشخیص Y (در این مورد، با اکسید کردن Y به B)، این امکان وجود دارد که حلقه هر Y را که به سطح حلقه می رسد “جمع آوری” کند.

نسبت جریان حلقه (به دلیل شناسایی Y در حلقه) به جریان دیسک (به دلیل X ایجاد شده در دیسک) میزان مطلوبیت مسیر X → Y را در مقایسه با مسیر X → Z نشان می دهد.  کسری از فروپاشی توسط مسیر X → Y (θYX) را می توان به صورت زیر محاسبه کرد:

xy=n1iR/n2idN
کسری از فروپاشی توسط مسیر X → Y (θYX)

 

در معادله بالا توجه کنید که کسر (𝑛1⁄𝑛2)، به دقت هر گونه تفاوت در تعداد الکترون‌های درگیر در واکنش نیمه دیسک و تعداد الکترون‌های درگیر را هنگام تشخیص 𝑌 در الکترود حلقه محاسبه می‌کند. طرح‌هایی که شامل استوکیومتری پیچیده‌تر هستند ممکن است به فاکتورهای اصلاحی اضافی نیاز داشته باشند.

متداول ترین واکنش مورد مطالعه در RRDE بدون شک واکنش کاهش اکسیژن (ORR) است.

هنگامی که اکسیژن (O2) در محیط اسیدی حل می شود و در یک الکترود پلاتین احیا می شود،

  1. یک مسیر به آب به عنوان محصول کاهش نهایی منتهی می شود.
  2.  مسیر دیگر منجر به تشکیل آنیون های پراکسید می شود.

در زمینه تحقیقات پیل سوختی هیدروژنی، مسیری که به آب منتهی می شود ترجیح داده می شود و معمولاً به آن مسیر چهار الکترونی می گویند. مسیر تشکیل پراکسید مسیر دو الکترونی نامیده می‌شود و به دلایلی نامطلوب است، از جمله این واقعیت که پراکسید می‌تواند به مواد مختلف غشای پلیمری موجود در پیل سوختی آسیب برساند.

جزئیات بیشتر در مورد نحوه استفاده از آزمایش “ژنراتور/کلکتور” RRDE برای تمایز بین مسیرهای ORR دو الکترونی و چهار الکترونی را می توان در مقالات الکتروشیمیایی یافت.

rotating cylinder electrode

3. نظریه الکترود سیلندر دوار (RCE).

الکترودهای دیسک دوار و دیسک حلقه ای عمدتاً در نتیجه تحقیقات شیمی الکتروتحلیلی آکادمیک ایجاد شدند. در مقابل، نظریه الکترود سیلندر دوار (RCE) توسط محققان صنعتی در جوامع خوردگی و آبکاری ایجاد شد.

  1.  د جریان محلول در یک دیسک دوار (یا حلقه-دیسک) در طیف وسیعی از سرعت‌های چرخش آرام است،
  2.  جریان در سطح یک سیلندر چرخان کاملا متلاطم است اما کمترین سرعت چرخش را دارد.

بنابراین، RCE یک ابزار عالی برای ایجاد و کنترل شرایط جریان آشفته در آزمایشگاه است و بیشتر برای تقلید از شرایط خوردگی آشفته موجود در تنظیمات صنعتی در مقیاس بزرگ مانند خوردگی خط لوله میدان نفتی استفاده می‌شود.

جریان آشفته در یک الکترود سیلندر دوار، مواد را از محلول توده ای به سطح الکترود منتقل می کند. در حالی که محلول توده به خوبی توسط گرداب اصلی القا شده توسط الکترود دوار به هم زده می شود، لایه محلول مجاور سطح سیلندر تمایل به چرخش با الکترود دارد. بنابراین، یک شرایط برشی بالا در سطح سیلندر در حال چرخش ایجاد می‌شود و گرداب‌های کوچک‌تر تیلور در مجاورت الکترود دوار می‌چرخد.

حرکت خالص مواد به سطح یک استوانه در حال چرخش اولین بار توسط موریس آیزنبرگ در سال 1954 مشخص شد (تقریباً در همان زمانی که لویچ الکترود دیسک دوار را توصیف می کرد).

کار آیزنبرگ در نهایت منجر به معادله آیزنبرگ شد که جریان محدود کننده را در یک الکترود سیلندر در حال چرخش می دهد.

معادله آیزنبرگ
معادله آیزنبرگ

که پارامتر ها در آن به صورت زیر هستند:

غلظت (C) و ضریب انتشار (D) مولکول یا یون مورد مطالعه،

ثابت فارادی (F = 96485 کولن بر مول)،

سطح الکترود (A)، قطر سیلندر (dcyl)، ویسکوزیته سینماتیکی محلول (ν)

و نرخ چرخش زاویه ای (ω = 2πf/60، که در آن f نرخ چرخش بر حسب دور در دقیقه است) .

در سال‌های پس از کار اولیه آیزنبرگ با سیلندر دوار، کارهای بیشتر توسط Gabe، Kear، Walsh و Silverman کاربردهای صنعتی RCE را تشریح کرده‌اند.

(جهت مطالعه متن لاتین کلیک کنید).

(جهت مطالعه کار برد ها و نکات عملی کار با الکترودهای دوار RDE و RRDE کلیک کنید.)

 

1 نظر

به گفتگو بپوندید و نظر خود را به ما بگویید.

kdxuwjtcqپاسخ
17 آگوست 2024 در 11:02 ق.ظ

بسیار عالی ممنون از شما.

نظری دهید